TinToll Performance Materials Co., Ltd.
TinToll Performance Materials Co., Ltd.
Poli (glicole etilenico) bis(p-dimethylaminobenzoate)

PowerCure™ASA

N. CAS 71512-90-8

Poli (glicole etilenico) bis(p-dimethylaminobenzoate)


PowerCure™ASA è un sinergizzante di ammina polimerica. Ha una bassa migrazione e bassa fluidità, che è progettata in modo specifico per l'uso negli inchiostri. È particolarmente adatto per l'uso in combinazione con fotoiniziatori di tipo II. PowerCure™L'asa è progettato per l'uso in inchiostri che richiedono bassa migrazione e bassa fluidità.

TY_QT3 N. CAS 71512-90-8
Poli (glicole etilenico) bis(p-dimethylaminobenzoate)

Dati tecnici di PowerCure™ASA CAS No. 71512-90-8

VexesOmnipol ASA

Numero CAS

71512-90-8

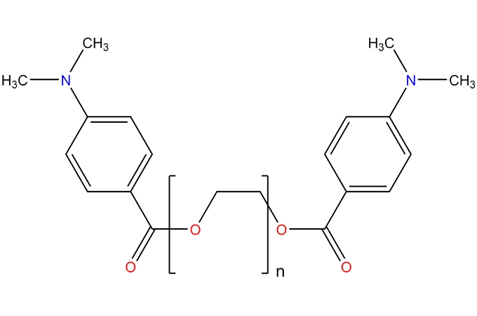
Struttura chimica







poly ethylene glycol bis p dimethylaminobenzoate

Imballaggio

PowerCure™L'asa viene fornito in un tamburo da 20Kg o 200Kg.

Nota

Tutte le informazioni nel volantino sono basati sulla nostra conoscenza ed esperienza presenti. Ci riserva il diritto di effettuare qualsiasi modifica in base ai lavori tecnologici o a ulteriori aggiornamenti. Le prestazioni del prodotto qui illustrato devono essere verificate mediante test.


Eliminiamo in modo specifico qualsiasi altra garanzia espressa o indiretta di fitness per un particolare scopo o merchantable.


Diramiamo la responsabilità per qualsiasi danno incidentale o consequenziale.

Benefici e applicazioni di PowerCure™ASA CAS No. 71512-90-8

PowerCure™ASA ha una bassa migrazione e bassa fluidità. QuestoSinergizzante di ammina acrilicaÈ particolarmente adatto per sistemi neri e scuri.


PowerCure™ASA è particolarmente adatto per l'uso in combinazione conFotoiniziatore di tipo II. Il dosaggio consigliato è 5 ~ 15%.

Proprietà fisiche di PowerCure™ASA CAS No. 71512-90-8

Aspetto

Liquido viscoso giallo-marrone

Contenuto di EDB (HPLC)

Max.1.00 %

Perdita di essiccazione (%)

Max.0.10


Come possiamo aiutarti?
Reqest un campione? Richiedi un preventivo? Domanda tecnica? Trovare un distributore?
Raccomandato Sinergizzanti amminici
Poli (glicole etilenico) bis(p-dimethylaminobenzoate)