TinToll Performance Materials Co., Ltd.
TinToll Performance Materials Co., Ltd.
2,2-dimetossi-2-fenilacetofenone

PowerCure™651

N. CAS 24650-42-8

2,2-dimetossi-1,2-difenil-etanone


PowerCure™651 un fotoiniziatore, che viene utilizzato per initializzare la polimerizzazione radicale ad es. Nella preparazione di polimeri acrilici. Quando sotto l'influenza della luce la molecola forma i radicali che avviano la polimerizzazione radicale.

TY_QT3 N. CAS 24650-42-8
2,2-dimetossi-2-fenilacetofenone

Dati tecnici di PowerCure™651 CAS n. 24650-42-8

VexesOmnirad BDK, Irgacure 651

Numero CAS

24650-42-8

Numero EINECS

246-386-6

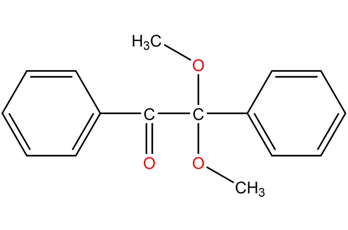
Struttura chimica

2,2 dimethoxy 2 phenylacetophenone

Formula chimica

C16H16O3

Peso molecolare

256.3

Imballaggio

PowerCure™651 viene fornito in cartone da 20Kg.

Nota

Tutte le informazioni nel volantino sono basati sulla nostra conoscenza ed esperienza presenti. Ci riserva il diritto di effettuare qualsiasi modifica in base ai lavori tecnologici o a ulteriori aggiornamenti. Prestazioni di questoFotoiniziatore di tipo ILa descrizione qui dovrebbe essere verificata mediante test.


Eliminiamo in modo specifico qualsiasi altra garanzia espressa o indiretta di fitness per un particolare scopo o merchantable.


Diramiamo la responsabilità per qualsiasi danno incidentale o consequenziale.

Benefici e applicazioni di PowerCure™651 CAS n. 24650-42-8

PowerCure™Il 651 è ampiamente utilizzato nella polimerizzazione di acido acrilico e acrilato, la polimerizzazione e la reticolazione di poliestere insatura.


PowerCure™651 può essere applicato in rivestimenti e adesivi e utilizzato principalmente come agente indurente UV (ultravioletta) nel sistema di polimerizzazione UV, applicato a inchiostro, carta e vernice metallica.


PowerCure™Il 651 è un tipo di iniziatore di polimerizzazione UV altamente efficiente, che viene utilizzato principalmente come iniziatore di reazione di polimerizzazione UV.


PowerCure™Il 651 viene utilizzato come reagente analitico e utilizzato per la stampa di resina fotosensibile.

Proprietà fisiche di PowerCure™651 CAS n. 24650-42-8

Aspetto

Cristallo bianco

Punto di fusione [°C]

67-70

Punto di ebollizione [°C]

169

Densità

1.1320

Pressione del vapore [25 °C, Pa]

0.002

Indice di rifrazione

1.5590

Analisi (%)

Min.99,0

Cenere (%)

Max.0.1

Fp [°C]

190

Perdita di essiccazione (%)

Max.0.5

Residuo bruciato (%)

Max.0.1

Contenuto d'acqua

Max.0.5

Residuo di benzoino (%)

0.2

Trasmissione 425nm (%)

Min.95.0

Trasmissione 450nm (%)

Min.96.0

Trasmissione 500nm (%)

Min.98.0

Solubilità di PowerCure™651 CAS n. 24650-42-8

Solubilità [20 °C]

% W/w

Acetone

> 50

Metanolo

41

Stirene

> 50

Acetato di butile

> 50


Come possiamo aiutarti?
Reqest un campione? Richiedi un preventivo? Domanda tecnica? Trovare un distributore?
Raccomandato Fotoiniziatori radicali liberi-tipo I
2,2-dimetossi-2-fenilacetofenone