TinToll Performance Materials Co., Ltd.
TinToll Performance Materials Co., Ltd.
Bis (muslimite) pentaeritritolo difosfito

PowerNox™9228

N. CAS 154862-43-8

Bis (muslimite) pentaeritritolo difosfito


PowerNox™Il 9228 è un antiossidante di fosfito solido a flusso libero.

TY_QT3 N. CAS 154862-43-8
Bis (muslimite) pentaeritritolo difosfito

Dati tecnici di PowerNox™9228 CAS n. 154862-43-8

VexesDoverphos 9228

Numero CAS

154862-43-8

Numero EINECS

421-920-2

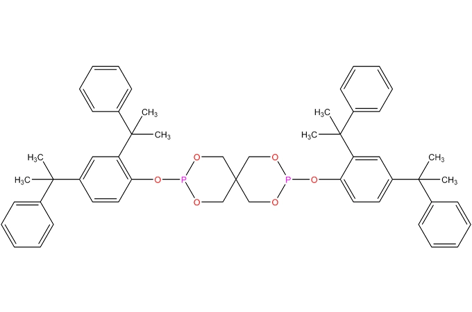
Struttura chimica

bis 2,4 dicumylphenoxy pentaerythritol diphosphite

Formula chimica

C53H58O6P2

Peso molecolare

852

Imballaggio

PowerNox™Il 9228 viene fornito in una scatola di cartone da 15Kg.

Nota

Tutte le informazioni nel volantino sono basati sulla nostra conoscenza ed esperienza presenti. Ci riserva il diritto di effettuare qualsiasi modifica in base ai lavori tecnologici o a ulteriori aggiornamenti. Le prestazioni del prodotto qui illustrato devono essere verificate mediante test.


Eliminiamo in modo specifico qualsiasi altra garanzia espressa o indiretta di fitness per un particolare scopo o merchantable.


Diramiamo la responsabilità per qualsiasi danno incidentale o consequenziale.

Vantaggi e applicazioni di PowerNox™9228 CAS n. 154862-43-8

PowerNox™Il 9228 ha un'eccellente stabilità idrolica senza l'aggiunta di prodotti inerti o triisopropanolo ammina.


PowerNox™9228 presenta prestazioni di colore simili come dimostrato da distearyl pentaeritritolo difosfato e altri simili pentaeritritolo difosfititi.


A causa del suo punto di fusione elevato, PowerNox™9228 può essere utilizzato in applicazioni che richiedono l'elaborazione a temperature elevate.

Proprietà fisiche di PowerNox™9228 CAS n. 154862-43-8

Aspetto

Polvere a flusso libero bianco sporco

Punto di fusione (°C)

Min.225

Fosforo (%)

7.3


Come possiamo aiutarti?
Reqest un campione? Richiedi un preventivo? Domanda tecnica? Trovare un distributore?
Raccomandato Antiossidante di fosfito
Bis (muslimite) pentaeritritolo difosfito