TinToll Performance Materials Co., Ltd.
TinToll Performance Materials Co., Ltd.

Antiossidanti secondari, come antiossidanti e tioeteri di fosfito, decompongono gli idroperoscopi in prodotti non radicali, non reattivi e termicamente stabili. Gli antiossidanti ausiliari sono quindi chiamate anche decompositori di perossido di idrogeno. Gli antiossidanti di fosfiti e tioeteri sono decompositori di perossido di idrogeno ampiamente utilizzati. I fosfatiti sono i più efficaci alle alte temperature delle operazioni di lavorazione del fuso, mentre i tioeteri funzionano meglio nella fase solida a temperature di utilizzo a lungo termine. Gli antiossidanti secondari vengono utilizzati insieme agli antiossidanti primari per aumentare la stabilità dei polimeri.


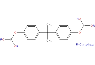
Gli antiossidanti di fosfito sono antiossidanti secondari che decompongono perossidi e idroperoscopi in prodotti non radicali stabili. Gli antiossidanti di trifenil fosfito sono stabilizzatori estremamente efficaci durante la lavorazione e sono spesso utilizzati in combinazione con l'antiossidante primario per fornire una buona stabilità del calore, stabilità del colore, stabilità del processo e resistenza alle intemperie ai polimeri.


Per più di 30 anni,TINTOLL, Uno dei principali produttori di antiossidanti fosfito in cina, si è dedicato a fornire innovativi stabilizzatori leggeri ad alte prestazioni e soluzioni antiossidanti per soddisfare le esigenze tecniche in crescita e in cambiamento del mercato globale delle materie plastiche.


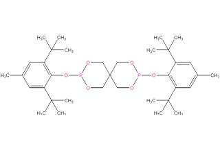
Tris 2 4 di tert butilfenil fosfites di TINTOLL gioca un ruolo importante nell'inibitore e nel ritardo dell'ossidazione e della degradazione dei materiali polimerici. TINTOLL è disponibile in una varietà di forme fisiche e miscele standard e personalizzate. La scelta dell'antiossidante dipende da fattori come compatibilità, stabilità del colore e termica, stabilità e efficienza dello stabilizzatore.


Tipi di antiossidante fosfito

Tipi di antiossidante fosfito

Cosa sono gli antiossidanti secondari?

Cosa sono gli antiossidanti secondari?

Antiossidanti secondari ossidazione retard prevenire la crescita dei radicali alcoossi e idrossilici scomposizione di idroperossiti per produrre prodotti non reattivi. Questi polimeriAdditivi antiossidanti per materie plasticheSono in genere utilizzati in una combinazione sinergica con antiossidanti primari.

  • Organofosfati

Effetto come antiossidanti secondari compresoTrifenil fosfito antiossidante, Gli organofosfatati riducono gli idroperoli agli alcol, si convertono in fosfonati. Forniscono anche stabilità del colore, riducendo lo scolorimento a causa della formazione di prodotti di reazione quinoidica che si formano mediante ossidazione dei fenolici. Tris-nonilfenil fosfito (TNPP) è l'organofosfato più comunemente usato seguito da tris(2,4-di-tert-butilfenil) fosfito.

  • Tioesters

Derivato da esteri alifatici di acido B-tio dipropionico, i tioesteri funzionano come antiossidanti secondari e forniscono anche un'elevata stabilità al calore a una varietà di polimeri. Funzione di tioesteri come antiossidanti secondari rimuovendo gli idroperoscopi per formare derivati dello zolfo esavalente stabili.

Tioesters act as synergizzs quando combinato conAntiossidanti fenoliciIn poliolefine.

  • Deattivatori

IlDisattivatore in metalloSi combina con gli ioni metallici per restringere il potenziale di propagazione della catena. I deattivi metallici sono comunemente utilizzati nei rivestimenti interni in poliolefina nelle applicazioni di fili e cavi dove la plastica viene a contatto con il metallo.


Reqest un campione? Richiedi un preventivo? Domanda tecnica? Trovare un distributore?