TinToll Performance Materials Co., Ltd.
TinToll Performance Materials Co., Ltd.

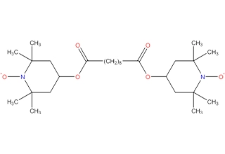
Inibitore dei radicali liberi la polimerizzazione dei monomeri insatura si profila di solito tramite i radicali C, e questi possono sopprimere la polimerizzazione combinando con altri radicali liberi per formare specie neutre. I radicali liberi stabili TINTOLL includono 4-idrossi TEMPO , 4-oxo-TEMPO, Tri-(4-idrossi-tempo) fosfito e Bis(2,2, 6,6-tetrametil-muslimate) Sebacate, sono molto efficaci spazzangers radicali liberi.

Tipi di inibitore della polimerizzazione

Tipi di inibitore della polimerizzazione

Cos'è l'inibitore di polimerizzazione?

Cos'è l'inibitore di polimerizzazione?

Gli inibitore di polimerizzazione sono molecole reattive che reagiscono con catene polimeriche estensibili. Vengono utilizzati per stabilizzare i monomeri e prevenire l'avvio della polimerizzazione della luce, del calore e dell'aria.

Gli inibitore di polimerizzazione sonoAdditivi funzionaliChe sono essenziali per lo stoccaggio e l'elaborazione sicuri dei monomeri.

L'aggiunta di piccole quantità di inibitore può fermare la reazione della catena di polimerizzazione o rallentare in modo significativo la sua velocità.

Alcuni comuni inibitore di polimerizzazione includono idrochinoni e nitrosammine. In ogni caso, gli autoallineanti tradizionali di polimerizzazione, come l'idrochinone, non possono prevenire la polimerizzazione in alcune condizioni.

La polimerizzazione radicale libera dei monomeri insatura si profila di solito tramite i radicali C, e questi possono sopprimere la polimerizzazione combinando con altri radicali liberi per formare specie neutre.TINTOLLI radicali liberi stabili includono 4-idrossi TEMPO, 4-oxo-TEMPO, Tri-(4-idrossi-tempo) fosfito e Bis(2,2, 6,6-tetrametil-4-piperidyl-1-oxyl) Sebacate, sono molto efficaci spazzolini radicali liberi.


Reqest un campione? Richiedi un preventivo? Domanda tecnica? Trovare un distributore?