TinToll Performance Materials Co., Ltd.
TinToll Performance Materials Co., Ltd.

I fotoiniziatori cationici reagiscono in modo diverso dai fotoiniziatori radicali liberi. I fotoiniziatori di sale Iodonium sono i fotoiniziatori cationici più ampiamente utilizzati a causa della loro eccellente fotosenività e del fatto che la loro solubilità e altre proprietà fisiche possono essere personalizzate per varie applicazioni. Quando questi sali vengono irradiati con luce UV, vengono testati con una scollatura a legame omolitico come I fotoiniziatori di tipo I, E i radicali liberi formati reagiscono con i donatori di protoni per formare acidi protonici super potenti (chiamato anche acidi Bronsted o di Lewis) e l'acido che ne deriva avvia la polimerizzazione.


TINTOLL è uno dei leaderFornitori di fotoiniziatori, Che è anche una delle attività principali di TINTOLL. Il nostro portafoglio di prodotti copre fotoiniziatori radicali e cationici gratuiti (generatori di photo-acid) e sinergizzanti di ammina. I materiali polimerizzabili ai raggi UV sono ampiamente utilizzati nelle arti grafiche, nei rivestimenti industriali, negli adesivi, nei circuiti stampati e nella stampa 3D.TINTOLLFornisce supporto per applicazioni, sviluppo di prodotti e soluzioni personalizzate e coopera con i clienti per sviluppare fotoiniziatori cationici di nuova generazione.


Tipi di fotoiniziatori cationici

Tipi di fotoiniziatori cationici

Classificazione dei fotoiniziatori cationici

Classificazione dei fotoiniziatori cationici

I fotoiniziatori cationici possono essere classificati in due categorie principali in base al tipo di cationi che generano durante il processo di fotoiniziazione:

  • Sali di ammonio: questiTipi di fotoiniziatoriGenera cationi attraverso la scollatura dei sali di onium. I sali di Onium contengono elementi come zolfo, fosforo o azoto e sono note per la loro capacità di generare forti cationi. Le principali sotto i sali di onium includono:

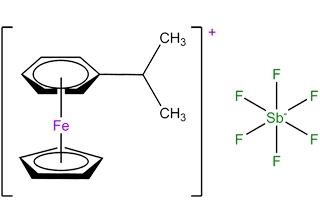
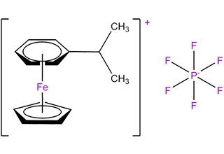
Sali di iodonio a. Sono comunemente utilizzati nelle applicazioni di polimerizzazione UV, inclusi compositi e rivestimenti dentali.

B. Sulfonium Salts: i fotoiniziatori a base di solfonio generano cationi di solfonio. Trova applicazioni in vari settori, come adesivi, stampa ed elettronica.

C. Fosfonio sali: gli iniziatori di fosfonio generano cationi di fosfonio e vengono utilizzati nella polimerizzazione UV per materiali come rivestimenti e inchiostri.

  • Complessi metallici: In questa categoria, i fotoiniziatori cationici generano cationi attraverso la scollatura dei complessi Metallocene. Questi iniziatori sono usati in genere in applicazioni specifiche e alcune delle principali categorie includono:

A. Titanocene complex: fotoiniziatori a base di Titanocene release titanocene cations. Sono utilizzati in applicazioni speciali come la stampa 3D e la produzione di semiconduttori.

B.


Reqest un campione? Richiedi un preventivo? Domanda tecnica? Trovare un distributore?